Дисциплина творческого процесса

We use cookies. Read the Privacy and Cookie Policy

Труд над созданием творческого круга, где бы артист, выступающий в роли, жил как бы в публичном одиночестве, должен начаться с контроля собственных мыслей, с контроля своих физических действий и импульсов, выбивающих внимание в сторону от истинно художественных задач, предлагаемых ролью[257].

К. С. Станиславский

Императив, адресованный Станиславским драматическому артисту, имеет еще большее значение для оперного певца, чьи задачи даже сложнее.

Шаляпин в своей работе очень быстро пришел к выводам, довольно сходным с приемами Станиславского в работе с актерами, и весьма похожим образом их систематизировал. Но все же очевидны и различия, диктуемые спецификой оперного жанра. Они касаются круга внимания, видов внимания и самоконтроля творческого процесса на сцене. Не станем останавливаться на этих различиях. Проанализируем художественный метод Шаляпина и проследим технические аспекты сценического творчества, которые могут быть полезны любому оперному певцу, вплоть до того пункта, когда начинается таинство гениальности, то есть до области, которая анализу не поддается.

Освобождение от собственного «я»

В частной жизни типичный эгоцентрик, Шаляпин понимал, что привнесение личных импульсов и страстей в процесс творчества становится серьезной помехой. Характерные особенности и опыт внешней жизни могут быть материалом для творчества (в этом заключается неотделимость частного «я» от художественного «я»), но настоящее творчество начинается только тогда, когда исполнитель в каждой страсти опознает то личное, временное, преходящее, условное и незначительное, что определяется его низшим «я», и когда он стремится превзойти этот уровень и выйти за его пределы. Благодаря способности Шаляпина к перевоплощению это «самоочищение» в каждом отдельном случае происходило стремительно и было абсолютным: он подходил к материалу искусства с чистым сердцем, совершенно свободный от давления своего низшего «я». Мотивы для творчества певец черпал не во внешних поводах, но в глубинных потребностях своего существа.

Он приближался к художественному материалу в состоянии сосредоточенного священнодействия, и внимание его сразу же сосредотачивалось на самом существенном, органическом, надличностном. Это были такие моменты перелома в сознании, когда мир творческий проникал в мельчайшие поры его условных задач, когда он вносил собственную жизнь в те моменты чужой жизни, которые предлагал ему автор, и они становились частью его собственной жизни, без придания сценическому образу красок собственной личности, без какого-либо насилия и трюков. Здесь самообладание и внутренняя дисциплина приводят исполнителя к освобождению от собственного «я», которое уступает место человеку (персонажу), роль которого он играет.

Концентрация

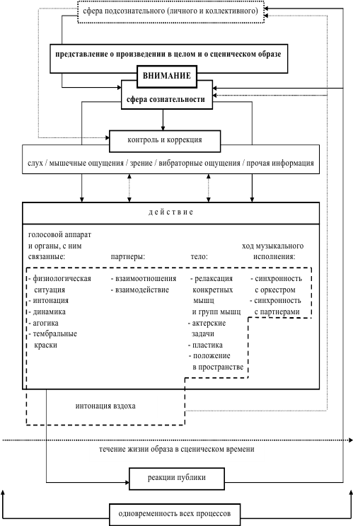
Концентрация – непременное условие успешного творчества на всех его этапах: и на подготовительном (когда исполнитель занимается действенным анализом произведения и другой работой, необходимой для создания образа и «вынесения его на сцену»), и на исполнительском (творческий процесс, происходящий на сцене, выступление перед публикой). Концентрация означает сознательное управление всеми силами организма, она охватывает не только умственную и эмоциональную сферу, но и физическую активность и связанные с ней процессы.

Итак, концентрация – это внутреннее действие. Это – активное действие, причем в качестве импульса к действию выступает мысль. В этом смысле и употребляется определение концентрации (она же сосредоточенность), которое дает Станиславский: «Мысль, включенная в творческий круг внимания, точно собранная в определенной точке волей и выбором, будет сосредоточенностью»[258].

Концентрация должна быть стабильной, иметь необходимую продолжительность и обеспечивать бдительность внимания. Без бдительности внимания невозможно следить за теми условиями, в которых возникает процесс сценического творчества, то есть сделать выбор именно тех задач, которые соответствуют данному образу, и внести в них собственные индивидуальные качества, соединив их с теми, которые предлагает роль. Так же точно без бдительности внимания невозможно контролировать ход сценического творчества во всех его элементах или же дисциплину творческого процесса.

Внимание

Говоря о различиях между выступлениями в концерте и в опере, мы уже упоминали, в несколько упрощенной форме, о том, на что должно быть устремлено внимание в процессе творчества на оперной сцене:

1) на общий драматургический план оперы и на конкретную роль;

2) на вокальный аппарат и на связь между словом и музыкой;

3) на актерский аспект выступления (роли);

4) на тело как таковое, и в организованном пространстве;

5) на партнеров и общий ход исполнения;

6) на оркестр и общий ход исполнения;

7) на публику и ее реакцию.

О внимании к общему драматургическому плану оперы и к конкретной роли, к вокальному аппарату и связи между словом и музыкой, об актерском аспекте выступления и о теле как таковом мы уже говорили, рассматривая интонацию вздоха и использование тембровых красок. Собственно, речь шла о том, что актеру необходимо держать в уме и оперу в целом, и, в ее рамках, конкретную роль, и сценические задания и их соотношение между собой, и музыкальное выражение смысла текста, и способы донесения этого текста посредством вокального аппарата, и функционирование всего тела исполнителя. Внимание к точности осуществления всех вышеупомянутых элементов акта творчества (а вниманию принадлежат и корректирующие функции), осуществляемых одновременно, приводит к материализации представления о данной опере, о роли и эмоционально-психологическом смысле слов в сочетании с музыкой, что и происходит по ходу развития сценического действия.

Внимание к телу как таковому включает внимание к функционированию вокального аппарата, к жесту, к движению и пластике тела. Условие хорошего функционирования тела – его релаксация. Внимание к телу как таковому ставит целью воспитать в себе искусство расслабления мышц с тем, чтобы направить все внимание на ту или иную группу мышц.

Внимание к телу в организованном пространстве подразумевает внимание к положению тела исполнителя по отношению к другим исполнителям, находящимся на сцене (солистам, хору), в рамках заданного (сценографически организованного) сценического пространства, то есть к точности мизансценического рисунка роли. Положение и движение тела в пространстве носит как функциональный, так и эстетический характер. Функциональный характер определяется драматургическими особенностями сценических задач образа, а эстетически общей изобразительностью сценического пространства.

Внимание к партнерам – это наблюдение за партнерами, их настроением в обстоятельствах роли, за соответствующими ролям интонациями и приемами, необходимыми для того, чтобы во взаимных контактах не нарушалась единая логическая линия общего художественного целого, то есть спектакля. Внимание к партнерам в ходе спектакля относится и к возможным ошибкам. В таких случаях, с учетом непрерывной пульсации музыки, необходимо, производя коррекции в пределах ритмической структуры музыки и в рамках собственной роли, как можно скорее восстановить точность исполнения. Эти интервенции должны быть незаметны публике; они не должны нарушать концентрацию, не должны влиять на дисциплину дальнейшего хода творческого процесса.

«Дисциплина чувства снова возвращает нас в сферу сознания, к усилию чисто интеллектуального порядка. Соблюдение чувства художественной меры предполагает контроль над собой. <…>

Тут актер стоит перед очень трудной задачей – задачей раздвоения на сцене. Когда я пою, воплощаемый образ предо мною всегда на смотру. Я пою и слушаю, действую и наблюдаю. Я никогда не бываю на сцене один… На сцене два Шаляпина. Один играет, другой контролирует <…>

Я ни на минуту не расстаюсь с моим сознанием на сцене. Ни на секунду не теряю способности и привычки контролировать гармонию действия… В гармонии ли положение тела с тем переживанием, которое я должен изображать? Я вижу каждый трепет, я слышу каждый шорох вокруг себя…»[259]

Внимание к оркестру (и ко всему ходу спектакля) распределяется по двум направлениям: с одной стороны, оно направлено на синхронность хода событий на сцене с партией оркестра, а с другой стороны – на стимулы творчества, получаемые певцом от оркестра.

В «дошаляпинскую» эпоху внимание певцов было сконцентрировано на собственной вокальной партии. Они обращали внимание на оркестр только в случае значительных расхождений в ритме.

Между тем, роль оркестра в опере давно уже вышла за пределы музыкального сопровождения, он стал активным участником сценического действия, носителем оперной драматургии. Переплетение вокальных и оркестровых партий образует единое течение психической жизни: эмоциональная энергия сценического персонажа заключена в вокальной партии, но движущую силу этой энергии образует оркестр. Эта энергия составляет «второй план» образа – его затаенные желания, неясные предчувствия, невысказанные мысли; потом, оформившись, они поднимаются до сознательного уровня, получая конкретное выражение в тексте вокальной партии.

Шаляпин указывал, что оркестровая партия требует тем большего внимания певца, чем больше она «противоречит» вокальной партии или же от нее обособляется: в одном случае оркестр играет роль «психологического контрапункта» и таким образом мотивирует поведение сценического персонажа, в другом случае оркестр передает его скрытые мысли и порывы.

Даже в том случае, когда оркестр только сопровождает певца, и у него нет самостоятельной линии, которая бы представляла «подтекст» вокальной партии, он способен играть весьма важную роль как элемент характеристики сценического образа. Богатством гармонии, ритмики, динамики, инструментовки оркестр показывает степень напряжения воли, интенсивность порывов, накал страсти сценического персонажа, раскрывает тонус его самоощущения.

Шаляпин говорил, что певцу недостаточно понять только значение оркестровой партии в драматической структуре оперы, необходимо, чтобы он слушал оркестр как свое невидимое «я», чтобы он воспринимал его как органическую часть самоощущения сценического персонажа. Только в этом случае певец достигнет глубокой концентрации, полного слияния со сценическим образом и окажется в состоянии вовлечь зрителя в «собственный круг творчества», в круг существования сценического образа.

После Шаляпина синхронность сценического действия и оркестра нельзя больше рассматривать только с точки зрения темпо-ритмической дисциплины: два аспекта внимания к оркестру эволюционировали и стали единой задачей несравненно более широкого плана.

Внимание к публике и ее реакции – еще один элемент исполнительской техники, которым выдающийся певец при помощи флюидов, образующихся между ним и зрительным залом, вовлекает зрителя в свой круг творчества и заставляет его переживать мысли и чувства сценического персонажа.

Взаимоотношения публики и исполнителя изучены еще недостаточно. Но бесспорно одно: публика – важный фактор феномена оперного искусства. Она не только определяет степень популярности того или иного певца, но нередко влияет даже на тенденции развития оперного искусства. И на микроплане, и в крупном плане отношения публики и исполнителя, то есть публики и оперного искусства, остаются очень сложными.

«Есть такое множество пустяков, которые стоят между вами и публикой. Есть вещи неуловимые, до сих пор не могу понять, в чем дело, но чувствую: это почему-то публике мешает меня понять, мне поверить. <…> актер в творении образа зависит много от окружающей его обстановки, от мелочей, помогающих ему, и от мелочей, ему мешающих <…> Зрительный зал и идущие от него на подмостки струи чувства шлифуют образ неустанно, постоянно. Играть же свободно и радостно можно только тогда, когда чувствуешь, что публика за тобою идет. А чтобы держать публику – одного таланта мало: нужен опыт, нужна практика, которые даются долгими годами работы»[260].

Но Шаляпин тут же предупреждает: «Полагаться на одну только реакцию публики я не рекомендовал бы. „Публика хорошо реагирует, значит, это хорошо”, – очень опасное суждение. Легко обольститься полуправдой. Успех у публики, то есть видимая убедительность для нее образа, не должен быть артистом принят как безусловное доказательство подлинности образа и его полной гармоничности. Бывает, что публика ошибается. Есть, конечно, в публике знатоки, которые редко заблуждаются, но свежий народ, широкая публика судит о вещах правильно только по сравнению. Приходится слышать иногда в публике про актера: „как хорошо играет!”, а играет этот актер отвратительно. Публика поймет это только тогда, когда увидит лучшее, более правдивое и подлинное. „Вот как это надо играть!” – сообразит она тогда…»[261]

Дисциплина творческого процесса одинаково необходима как в его начальной, так и в исполнительской фазе: она начинается отделением от собственного «я» и дисциплиной мысли и чувства, а заканчивается строгим контролем над его конечным результатом – жизнью образа на сцене. Залог дисциплины творческого процесса – прочное пребывание в круге творчества, надежная концентрация и активность бдительного внимания.

Более 800 000 книг и аудиокниг! 📚

Получи 2 месяца Литрес Подписки в подарок и наслаждайся неограниченным чтением

ПОЛУЧИТЬ ПОДАРОК