9. Пропавшая проницаемость

We use cookies. Read the Privacy and Cookie Policy

Когда автор сообразил, что все электрические и магнитные величины могут иметь размерность в системе МКС, то есть метр, килограмм, секунда, то он, автор, сделал пересчет размерностей всех электрических и магнитных величин в эту систему. Это оказалось гораздо удобнее, чем даже действующая система МКСА, в которой к упомянутым механическим величинам добавлен еще Ампер. Потому как в действующей системе МКСА все электрические величины названы по-разному — Вольт, Тесла, Генри и т. п. И когда они все собираются в одной формуле, то уследить за тем, чтобы все было в порядке, трудновато: надо все время лезть во вспомогательную таблицу, в которой все эти величины изображены в системе МКСА. Так все и делают, но это есть дополнительный труд. А дополнительно трудиться никому не хочется.

В системе же МКС ничего этого не надо, тут все на виду, автор давно уже этим пользуется, и система МКС в электротехнике его еще ни разу не подводила. Чего он, автор, желает и всем прочим электрикам, физикам, радиотехникам, а также школьникам и студентам всех специальностей.

Однажды автору понадобилось узнать радиус электрона. Понятно, что для этого надо забраться в справочники, где все это давно сосчитано и написано. С высокой точностью. Не тут-то было!

Самым универсальным справочником, как известно, является энциклопедия, в которую вошли все главные достижения науки и техники. И в томе 30-м БСЭ 3 издания за 1978 г. на странице 73 в статье «Электрон» сказано, что электрон — это первая частица, открытая в физике, что он имеет заряд, равный е = 4,803242(14).10-10 ед. СГСЭ = -1,6021892(46).10-19 кулон, т. е. в системе МКСА. Он же имеет и массу, равную me = 0,91090534(47).10-27 г. А далее сказано, что «Понятие „размер Э.“ не удается сформулировать непротиворечиво, хотя величину

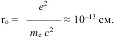
принято называть классическим радиусом электрона». Здесь с = 3.1010 см/с = 3.108 м/с есть скорость света.

Ну что ж, это все-таки лучше, чем ничего! Автору не понравился знак «я», что означает «примерно», и он, то есть я, подсчитал «классический» радиус электрона в системе СГСЭ. Он получился равным rо = 2,8. 10-13 см.

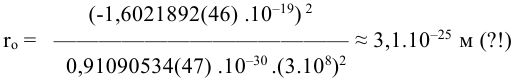
Но автор всю жизнь работает в системе СИ, поэтому решил рассчитать тот же радиус по той же формуле в этой системе единиц. Однако, подставив в эту формулу все указанные данные, автор получил совсем другую величину:

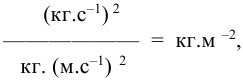
Полученное значение и близко не лежало рядом с тем, что было получено в системе единиц СГСЭ. Тогда автор, свято уверовавший в изобретенную им самим систему МКС для электромагнитных величин, решил проверить размерности всех упомянутых в формуле величин в этой системе. Заряд в системе МКС имеет размерность кг. с-1, следовательно, все размерности в формуле составят:

что сильно отличается от размерности длины, исчисляемой в метрах, которая должна была бы быть.

Автор в панике даже чуть было не решил, что придуманная им система МКС для электромагнетизма никуда не годится, но, овладев собой, подумал, что и полученная в системе МКСА величина для радиуса электрона тоже, вроде бы, не подходит. И, опираясь на размерность, автор понял, что в формуле не хватает плотности эфира, то есть диэлектрической проницаемости вакуума. Подставив в формулу диэлектрическую проницаемость, автор получил несколько иное выражение для «классического радиуса» электрона, а именно:

В системе СГСЭ от такой подстановки не изменилось ничего, поскольку в этой замечательной системе единиц диэлектрическая проницаемость вакуума во есть безразмерная единица, не имеющая вообще никакого физического смысла. Но в системе единиц СИ эта величин равна, как никак, ?о = 8,85.10-12 Фарада/метр, и она же, диэлектрическая проницаемость вакуума есть плотность эфира ро в околоземном пространстве, т. е. ?о = ро = 8,85.10 -12 кг/м3, а тогда все размерности сходятся, и уточненная формула верна. Следовательно, в любой системе единиц «классический радиус» электрона надо считать по формуле

Но теперь расчет по уточненной формуле дал для «классического радиуса» величину, равную не ro = 2,8. 10-13 см = 2,8. 10-15 м, а 3,5.10-14 м., отличающуюся от расчетной в системе СГСЭ в 12,5 раз, а это ровно 4?, которые как раз отличают все формулы, написанные в системе СИ от формул, написанных в другой системе единиц.

Поэтому никакого недоразумения здесь нет, кроме того, что в формулах, выраженных не в системе СИ, потерян физический смысл, поскольку диэлектрическая проницаемость все-таки зачем-то нужна, раз она присутствует в формулах, выраженных в системе единиц СИ.

Где же ошибка?

Представляется, что допущенная ошибка имеет серьезный методический характер. Сам факт того, что диэлектрическая проницаемость, параметр вполне физический, была приравнена к некоей безразмерной единице, говорит о том, что уже давно, более ста лет никто не интересовался физическим смыслом электрических единиц. Вся теория электромагнетизма оказалась подчиненной только прикладным задачам, а не поискам сути. И хотя в прикладных задачах это оправдано, в физике это совершенно недопустимо.

Никого не насторожило даже то обстоятельство, что в двух системах единиц, появившихся одновременно, — системах СГСЕ и СГСМ, в которой за абстрактную единицу принята не диэлектрическая проницаемость вакуума, а магнитная проницаемость, размерности одних и тех же величин разные. А поскольку физики и сегодня, несмотря на все указания и нормативы, продолжают упорно придерживаться этих систем единиц, то это значит, что они и сегодня не интересуются их физическим смыслом.

И это физики?!

Более 800 000 книг и аудиокниг! 📚

Получи 2 месяца Литрес Подписки в подарок и наслаждайся неограниченным чтением

ПОЛУЧИТЬ ПОДАРОК