5. Вероятность и невероятность

We use cookies. Read the Privacy and Cookie Policy

Теория вероятностей в сегодняшнем мире приобрела большое значение. С ее помощью можно высчитывать вероятности несчастных случаев и страховочные компенсации, лотерейные выигрыши и многое другое. В технике теория вероятности нашла исключительно важное применение при оценке надежности изделий, выборе резервов, а также при расчете допустимых погрешностей. Однако строго обоснованных и точных методов в теории вероятности не существует до сих пор. Что поделаешь, вероятность — она и есть вероятность!

Вероятности тех или иных событий удобно изображать в виде гистограмм или плотностей распределения вероятностей. Это вот что.

Предположим, у вас есть 100 одинаковых стержней длиной по одному метру. Они сделаны не очень точно, это и не нужно, потому что допустимая погрешность составляет ±1 см. Все стержни немного отличаются друг от друга. Выберем из общей массы те, длина которых лежит в пределах от 1000 мм до 1001 мм, поделим это число выбранных стержней на общее число стержней и получим процент этих стержней. Когда мы переберем все стержни с заданным интервалом по 1 мм и расположим все эти проценты на общем графике, в котором по горизонтали будет отложена длина, а по вертикали все эти проценты, мы и получим гистограмму. Сумма всех ординат в гистограмме всегда равна 100 %. В плотность вероятности гистограмма превращается, если все ее ординаты разделить на указанный выше интервал, в данном случае на 1 мм. Тогда по вертикали будут откладываться не проценты, а величины, обратные той, которая указана в оси абсцисс, в данном случае, 1/м, или м-1. В принципе, это все одно и то же, пользуются тем, что удобнее.

А чтобы пользоваться всеми этими приемами было еще удобнее, разработано несколько типовых плотностей распределения вероятностей. И самым ходовым распределением оказалось распределение, изобретенное где-то в первой половине 19 века великим немецким математиком Карлом Гауссом.

Гаусс рассудил так. Если имеется много одинаковых величин с отклонениями туда-сюда, то всегда можно найти их систематическую составляющую. Это будет средняя арифметическая величина. Теперь найдем от нее отклонения. Они будут разными, и их можно представить как сумму бесконечного числа неких одинаковых величин, складывающихся хаотически. Удобнее всего их представить в виде одинаковых стрелок-векторов, которые вращаются на плоскости как их душе угодно, но суммируются только их проекции на какое-то одно направление. В результате в большинстве случаев суммарное отклонение будет небольшим, в некоторых побольше, и только очень редко очень большим. А уж если все они выстроятся в один ряд, а общее число их бесконечно велико, то мы и получим бесконечное отклонение.

Вот, исходя из таких предположений, Гаусс и вывел свое гауссовское распределение случайных величин, которое получило название «нормального».

Как некая абстрактная модель, это нормальное распределение случайных величин у меня никаких возражений не вызывает. Хотя сам термин «нормальное» не понятен. Если это от слова «норма», то спрашивается, что это за норма, и почему решено, что именно это норма. Норма чего? Если от слова «нормально», то, что же это, все остальные распределения, а их много, не нормальные, что ли? Непонятно. Но главное, что гауссовская модель предполагает бесчисленное множество участвующих звеньев, к тому же одинаковых, но суммирующихся хаотически, т. е. случайно. И она тем самым подразумевает наличие «хвостов», т. е. возможность существования очень больших, хотя и очень редких отклонений, даже многократно превышающих номинал. А ничего такого в жизни на самом деле нет.

Все эти математические размышления вовсе не так безобидны, как кажется на первый взгляд. Дело в том, что все эти вероятности в авиационном приборостроении стали широко применяться для задания допустимых погрешностей на показания приборов. Военные заказчики и их представители в НИИ, КБ и на заводах, принимающие по совместительству и некоторую гражданскую продукцию, определяют допустимую погрешность через 2? или 3?. А этим значком ? обозначается средняя квадратичная ошибка. Эта ошибка определяется как корень квадратный из суммы квадратов всех частных ошибок, деленной на число этих ошибок, т. е.

Тонкость здесь заключается в том, что значения 2? и 3? означают соответственно 95 % и 99,8 % случаев, что справедливо только для нормального, т. е. гауссовского распределения. Во всех остальных случаях они превышают предельную ошибку и, следовательно, не имеют смысла. Американцы, учтя это, задают не мифические 2? или 3?, а либо ошибку для 95 % случаев, либо предельно допустимую ошибку. Им не приходится волноваться по поводу того, что то, что они требуют, больше предельной величины.

Автор многократно пытался объяснить заказчику и своему начальству недопустимость принятого у нас положения. Но ни те, ни другие так и не вняли. Потому что никто проверять все равно не будет, зачем же набиваться на дополнительные хлопоты?

Но тут подвернулся случай, когда, хотя бы в принципе, все можно поставить на свои места.

Оказалось, что к близкому сердцу автора барометрическому высотомеру все эти среднеквадратические ошибки никак не могут быть пристроены. Слишком хлопотно их принимать на заводе. Дело в том, что высотомер проверяется во многих точках диапазона и, если все его ошибки возводить в квадраты, складывать, потом делить и извлекать корень, то инженеры и рабочие должны переквалифицироваться в пересчетчики, и высотомеры делать будет некому. А потому решили, что нечего валять дурака, надо просто смотреть, чтобы ни в одной точке показания не выходили за допустимые рамки. Так решили, так это и сохраняется до сих пор. То есть была принята предельная ошибка. Но в некоторых задачах все же надо знать и среднеквадратичную ошибку. Вычислять ее каждый раз неудобно, поэтому надо бы выяснить, какой закон распределения имеют погрешности высотомера, чтобы по предельной ошибке сразу выяснить и среднеквадратичную.

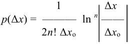
Тогда автор, то есть я, рассудил просто. Чем занимается техник-регулировщик высотомеров? Он стремится так регулировать прибор, чтобы погрешности были во всех точках как можно меньше. Но это не всегда удается. Однако предельную ошибку превышать никак нельзя. Из таких соображений вылупилось семейство распределений, которое было названо логарифмическим, каковым оно и является:

Здесь n — показатель степени распределения, который может быть различным у распределений конкретных физических величин.

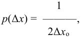
Очень быстро выяснилось, что при n = 0 распределение превращается в равномерное, характерное для цифровых систем:

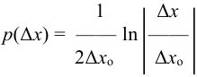
а при n = 1 оно приобретает вид:

и при этом отношение предельной и среднеквадратичной ошибок в точности равно 3, как это и было принято всеми, но без обоснования. И его можно оставить в покое, поскольку теперь обоснование есть. Но самое главное, у логарифмического распределения нет никаких «хвостов». А это значит, что некоторые методы расчетов должны быть пересмотрены.

Одним из таких расчетов является расчет вертикальных эшелонов для самолетов магистральных авиалиний. Сейчас эти эшелоны располагаются через 600 метров. Это означает, что самолеты, летающие на пересекающихся курсах, обязаны находиться на разных высотах с разностью высот в 600 метров. Однако сегодня уже понятно, что в некоторых районах мира, прежде всего, в Европе самолетов нужно пропускать больше, воздушного пространства не хватает. Поэтому остро стоит вопрос об эшелонировании через 300 метров.

Переход на эшелоны через 300 метров задача тяжелая. Но самое первое, на что надо обратить внимание, это на обоснование допустимости (или недопустимости) такого перехода, исходя из безопасности движения. Насколько автору было в свое время известно, в основу расчета были положены именно «хвосты» гауссовского нормального распределения, те самые «хвосты», которые не имеют к этой задаче никакого отношения.

Из этих «хвостов» следовало, что для сокращения эшелонов до 300 метров при допуске измерения высоты в 50 метров у каждого самолета нужно уменьшать погрешность измерения высоты с 50 до 20 метров. И тогда все вероятности отсутствия столкновений будут решены. А вот если таких «хвостов» нет, то весь расчет никуда не годится, как оно и есть на самом деле. Потому что здесь типичный случай поисков часов не на вокзале, где они потеряны, а под фонарем, где светлее.

Для определения безопасности эшелонирования надо не ужесточать требования к ошибкам высотомеров, что тоже, конечно, полезно, а налаживать систему контроля за полетами, а это совсем другая задача и другие меры. Столкновение самолетов при переходе из швейцарского воздушного пространства в германское, происшедшее летом 2002 г., показало, что может случиться при отсутствии правильного управления и контроля. Если бы на этих самолетах повысили точность измерения высоты, произошло бы все то же самое, потому что причина катастрофы заключается в халатности служб воздушного движения, а вовсе не в погрешностях высотомеров. И если бы в этой задаче использовалось логарифмическое, т. е. предельное, а не гауссовское «нормальное» распределение, то все было бы ясно с самого начала, и, может быть, больше внимания было бы уделено тем обстоятельствам, которые реально влияют на безопасность полетов, а не математическим абстракциям.

Более 800 000 книг и аудиокниг! 📚

Получи 2 месяца Литрес Подписки в подарок и наслаждайся неограниченным чтением

ПОЛУЧИТЬ ПОДАРОК