РАЗВЕТВЛЯЮЩИЕСЯ ПУТИ.
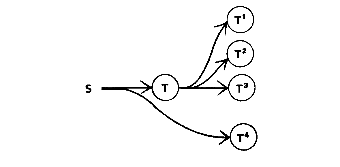
Общий принцип наиболее распространенной ошибки, случающейся при "разветвлении путей" между стимулом и "мишенью", иллюстрируется следующей схемой:

Предположим, что, когда действие стимула впервые подверглось изучению, все первоначальные исследования оказались посвященными его воздействию на Т1 Т2 и Т3. Большие усилия были затрачены на определение того, как именно действует S, и в результате для каждой из трех "мишеней" было с определенностью установлено, что все действия осуществляются через посредство передаточной точки Т. С течением лет способность S воздействовать только через Т приобрела характер классического примера и вошла в учебники. Если теперь обнаружится, что S действует также и на "мишень" Т4, то искушение предположить, что и в этом случае воздействие опосредуется все той же передаточной точкой, будет очень велико. на самом деле S все же может осуществлять свое воздействие напрямую. (как показано на рисунке) или через какую-либо передаточную точку, отличную от Т, но к настоящему времени существует психологический барьер, препятствующий даже рассмотрению такой возможности.
Мы столкнулись с этой конкретной проблемой в связи с нашей работой по изучению прямого воздействия препаратов АКТГ. Когда мы начали исследование, считалось общепринятым, что АКТГ действует лишь путем стимуляции выработки кортикоидов надпочечниками, поскольку все его известные эффекты могли быть устранены удалением надпочечников. Затем оказалось, что даже самые очищенные препараты АКТГ стимулируют препуциальные железы у крыс. Эти образования, будучи вторичными половыми признаками, регулируются половыми железами. Поэтому мы повторили свою работу на кастрированных животных, чтобы проверить возможность опосредования через половые железы. Подобного действия продемонстрировать не удалось, поскольку АКТГ сохранил свою активность и в отсутствие половых желез. Поэтому мы с уверенностью предположили, что имеем дело с обычным, то есть опосредованным надпочечниками, действием самого АКТГ, а не с действием примесей, стимулирующих половые железы.
Потребовалось известное время, прежде чем мы пришли к выводу о необходимости проверки того, действительно ли это конкретное действие АКТГ Зависит от присутствия надпочечников. В итоге, когда эксперименты были повторены на животных с удаленными надпочечниками, мы обнаружили, что, как ни странно, эффект стимуляции препуциальных желез в отличие от всех других известных эффектов действия данного гормона не устраняется этой операцией. Таким образом, мы установили, что сам АКТГ (или какое-то вещество, присутствующее даже в самых очищенных препаратах АКТГ) оказывает на надпочечники прямые воздействия. Оглядываясь назад, осознаешь, что проверка идеи об опосредующем действии надпочечников в общем-то элементарна. И тем не менее ни в одной из множество статей, описывающих стимуляцию препуциальных желез АКТГ, не было никаких данных об опытах на животных с удаленными надпочечниками. Считалось очевидным, что АКТГ может лишь стимулировать процесс выработки кортикоидов, что другие возможные его действия просто не проиходили в голову.
К сожалению, занимаясь воспроизведением нефросклероза с помощью больших доз СТГ, я опять допустил ту же ошибку. Бесчисленными наблюдениями было твердо установлено, что СТГ не действует посредством надпочечников ни на какой ранее изученный вид ткани. Когда мы выяснили, что у соответствующим образом сенсибилизированных крыс большие дозы СТГ способны вызывать нефросклероз, вопрос о возможности опосредования надпочечниками долгое время даже не приходил мне в голову. В конце концов, правда, мы рассмотрели такую возможность и обнаружили, что у животных с удаленными надпочечниками никакие дозы СТГ нефросклероз не вызывают. В этом отношении даже проведение терапии с применением различных кортикоидов не может компенсировать отсутствующий надпочечник. Очевидно, нефросклеротическое действие СТГ (или какого-то вещества, неотделимого от СТГ и потому присутствующего во всех его соединениях) опосредуется надпочечниками.
Так называемая теория обратной связи при секреции АКТГ во время стресса, которая была столь популярна всего лишь несколько лет назад, основывалась на том же самом заблуждении. Сначала со всей определенностью было установлено что во время реакции тревоги гипофиз выделяет АКТГ, который в свою очередь стимулирует выработку кортикоидов. В то же время было известно, что кортикоиды создают "компенсаторную атрофию" надпочечников посредством сокращения выделения АКТГ гипофизом. Очевидно, здесь мы имеем дело с механизмом обратной связи. С учетом всего этого соблазнительно было предположить, что во. время стресса выделение АКТГ стимулируется тем же самым механизмом, то есть потребление кортикоидов возрастает вплоть до возникновения состояния функциональной кортикоидной недостаточности. Эта недостаточность может затем стать стимулом для увеличения выработки АКТГ.
На самом деле фактических свидетельств увеличенного потребления кортикоидов с последующей кортикоидной недостаточностью на стадии реакции тревоги не существует. На практике концентрация кортикоидов в крови значительно возрастает во время стресса. Несколько лет назад мы показали также, что даже у животных, которым вводились чрезмерно завышенные дозы различных кортикоидов, стресс все же мог стимулировать надпочечник. Эти результаты привели нас к выводу о том, что уровень кортикоидов в крови регулирует выделение АКТГ только на околофизиологических уровнях. Фактической предпосылкой нормальной реакции стресса является необходимость хотя бы частичного выключения этого механизма обратной связи. В противном случае не было бы характерного значительного увеличения выработки кортикоидов. Тем не менее психологический барьер, препятствующий рассмотрению альтернативных вариантов, был столь значителен, что теория "обратной связи" оставалась в ходу в течение ряда лет.
Более 800 000 книг и аудиокниг! 📚
Получи 2 месяца Литрес Подписки в подарок и наслаждайся неограниченным чтением
ПОЛУЧИТЬ ПОДАРОК